In short, the Elo rating system is an algorithm that makes it possible to measure a player’s relative skill against other players. While it’s since been used and adapted in esports games like League of Legends, PUBG: Battlegrounds, and Overwatch, the Elo rating system has its roots in chess. It was developed (and named after) a Hungarian-American physics professor known as Arpad Elo.
Aside from being a renowned physicist, Professor Elo was a master chess player who was actively involved with the United States Chess Federation (USFC). At the time, a player’s chess ranking was calculated using a flawed Harkness rating system, and Professor Elo decided to change that by inventing a new one.
It All Started With the Flawed Harkness Rating System
The Harkness Rating System worked by taking the average rating of all the players in the tournament, and then using that number as the benchmark:
- A player that reaches a 50% score — meaning they have an equal amount of wins and losses — gains the tournament average as their new performance rating.
- A player that scores over 50% gains the tournament average, with an additional 10 rating points per percentage over 50%.
- A player that scores under 50% overall receives the tournament average, with a deduction of 10 rating points per percentage under 50%.
The Harkness rating system was easy to implement, but unfortunately, not very accurate; a low-rated player could join a tournament, lose every single match, and still walk out with more points if there was a high tournament average. It also solely measured skill in terms of wins, losses, and draws.
Realizing its apparent flaws the USFC tasked Professor Elo to create a more accurate way to assess a player’s skill. And he delivered, producing the Elo rating system by 1960. Instead of solely relying on the player’s performance to measure their performance, the Elo rating system takes into account the skill level of their opponents.
It predicts the likelihood each player has of winning the match —based on their average performance level — then uses this information in conjunction with the actual match result to determine how many points each player gains or loses:
- If the high rated player wins, they will take a small amount of rating points from their opponent.
- If the low rated player manages to win — aka pull off an upset win — they’ll gain a significant chunk of their opponent’s rating points.
- In the event of a draw, the lower-rated player still receives some rating points.
Over time, as a player continues to play against all kinds of opponents, they’ll eventually arrive at their “genuine” rating level. In Arpad Elo’s own words: “It is a measuring tool, not a device of reward or punishment; it is a means to compare performances, assess relative strength, not a carrot waved before a rabbit, or a piece of candy given to a child for good behavior.”
This system has its basis in statistical theory, and revolves around the concept that a player’s ability in every game is a random variable that eventually conforms to a bell curve. In other words, every player has an average performance level, even if there are deviations here and there (sometimes they’ll perform better than expected, while other times they’ll perform worse).
How Exactly Is Elo Calculated?
Two key equations are used to calculate Elo ratings, both of which are still used today. The first formula finds the predicted outcome of the match — how likely each player is to win — and the second formula then observes the actual outcome of the match, and adjusts a player’s Elo rating accordingly.
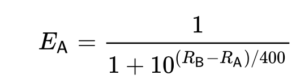
(Formula 1 – expected score, source)
Let’s break this down. Eᴀ stands for the expected score of player A. Rʙ is the current rating of player B, while Rᴀ is the current rating of player A. In this formula, a player’s expected score is their chances of winning, plus half of their chances of drawing. So, an expected score of 0.75 means that Player A will win against Player B 75% of the time.
The next formula, which allows you to update a player’s Elo rating, is as follows:
(Formula 2 – new Elo rating, source)
Based on this formula, if a player outperforms their expected score, their rating increases, but if their actual result is worse than their expected score, their rating decreases. The K parameter essentially determines the scope of adjustment that can occur after a game (how much a player’s rating can actually change by).
Other Uses of the Elo Rating System
Aside from chess, the Elo rating system has also been put to use in:
- Tennis: Uses a modified version of the Elo rating system, known as the UTR rating. Players are rated between 1 and 16.50, depending on their match results, performance in their last 30 games, and the difference in skill level between them and their opponents.
- Scrabble: Competitive scrabble — yes, it’s a thing — also uses the Elo rating system to determine a player’s relative skill. Player ratings typically range between 500 and 2,000. A novice is around 500, while top professional players have a rating above 1,700.
- Pool: Pool uses an adaptation of the Elo rating system, known as the Fargo Rate, to rank amateur and professional players.
- Tinder: Yep, even your dating life has been in the hands of an Elo rating system. Until 2019, Tinder used the Elo rating algorithm to find “ideal” potential matches.
How Do Video Games Implement the Elo System?
The Elo rating system — or some variation of it — has also become a staple in competitive, multiplayer video games. And it’s no surprise why: with the system in place, players can be sorted into ranks, meaning they know exactly where they stand in the playing field. It also ensures players can be easily (and consistently) matched against similarly-skilled opponents. So, games will always be challenging, but not to the point they feel unwinnable.
Competitive multiplayer games that have implemented an Elo-based system include League of Legends, Apex Legends, PUBG, CS:GO, and Overwatch.
Elo Rating in League of Legends Explained
League of Legends used the original Elo rating system to rank players in competitive game modes until Season Three. Since then, the game has implemented its own new (but similar) system, known officially as the League System.
The League System organizes players based on their skill level into nine tiers — iron, bronze, silver, gold, platinum, diamond, master, grandmaster, and challenger — with bronze being the worst and challenger being the best. Below master, each rank is divided into four divisions.
To climb up the ranks, players must earn League Points (LP). Winning a ranked match gives you LP, while losing a ranked match deducts LP. The exact number of LP a player receives or loses is based on their hidden Matchmaking Rating (MMR); a stat that reflects their overall skill level.
Although Riot keeps how MMR is calculated a closely guarded secret to prevent players from exploiting it, it likely takes into account wins, losses, and how a player performs against others, just like the Elo Rating System. Other possible metrics used to determine MMR include K/D/A, kill participation, consecutive wins or losses, vision control, objective control, and damage dealt.
Each region has its own separate ranked ladder, though they all follow the same nine tier system. In Europe West, challenger currently consists of the top 0.0084%, while in North America 0.017% of players make up challenger. The ranked season resets annually, with three splits per season.
Elo Rating in Apex Legends Explained
In Apex Legends’ main ranked mode, players are sorted into eight tiers based on their accumulated ranked points (RP). From worst to best, the tiers are rookie, bronze, silver, gold, platinum, diamond, master, and apex predator. The lowest tiers have four divisions each.
To climb up the ranked ladder in Apex Legends, you need to hit the following amount of ranked points:
- Rookie: Under 1,000 RP; designed for new players
- Bronze: 1,000 RP
- Silver: 3,000 RP
- Gold: 5,400 RP
- Platinum: 8,200 RP
- Diamond: 11,400 RP
- Master: 15,000 RP
- Apex Predator: Comprised of the top 750 players
You gain RP whenever you win a match, with the exact amount gained depending on your final match placement and total number of kills and assists. Interestingly, the total RP gained from a kill or assist follows a more “traditional” Elo rating system approach; it takes into account your overall placement plus the skill level of the opponent you killed.
Unlike other games (and the OG Elo system), you don’t lose LP based on your match result. Instead, entering a match incurs a fee of up to 175 RP. The higher your rank, the higher the RP entry cost will be.
Each platform has a separate ranked queue, though cross-platform play is supported to an extent and players are ranked globally.
Elo Rating in PUBG: Battlegrounds Explained
PUBG: Battlegrounds follows the standard Elo rating system for the most part. Each player has an individual rating that can go up or down depending on their match placement, and playing well against higher-skilled opponents will net you more Elo points (aka Ranked Points).
The PC version of PUBG sorts players into six tiers based on their accumulated RP: bronze, silver, gold, platinum, diamond, and master. Each tier has five divisions. As of March 2022, only 0.79% of solo players and 0.48% of squad players have reached Master level. The vast majority of players — around 87% — are within bronze, silver, or gold.
Elo Rating in CS:GO Explained
According to Valve employee “Vitaliy,” Counter Strike: Global Offensive uses a modified version of the Glicko-2 rating system. Glicko-2 was developed by Dr. Mark Glickman as an improvement on the original Elo rating system.
The Glicko-2 system takes into account two additional metrics: the reliability of a player’s rank (rating deviation) — i.e. if they haven’t played the game in a year, their current rating is likely inaccurate as they’re out of practice — and volatility, which measures the expected rating fluctuation. For example, a player that performs abnormally well all of a sudden will have a high volatility, whereas a player that performs consistently will have a low volatility.
Valve haven’t revealed how exactly they’ve modified the Glicko-2 rating system in CS:GO, though they’ve likely adjusted it to suit a multiplayer setup while also considering other metrics like general win/loss ratio and overall influence in a match (e.g. MVPs, damage, KD/R, refusals).
There are 18 ranks in CS:GO, with each categorized into four main groups: silver, gold nova, master guardian, and elite. Silver is the lowest while elite is the highest.
Elo Rating in Overwatch Explained
Overwatch uses its own adaptation of the original Elo rating system to assess a player’s skill. In general, performing well and winning games will increase your rating (Skill Rating), while losing streaks will decrease it.
Overwatch’s Principal Designer Scott Mercer has also stressed that, just like in the standard Elo rating system, perceived vs. actual skill plays a big part in how a player’s rating is determined:
“The vast majority of it is the win-to-loss ratio, but there are a lot of other factors outside of personal performance as well,” Scott Mercer told Bleacher Report. “For instance, were you an underdog, playing against a team that the system believes is better than you? If you win in that case, you’ll actually get more skill rating. It also works the other way around; you receive less if you win against a team that’s not as good.”
Scott Mercer has even shed some light on other factors that can contribute toward a player’s Elo rating. These include kills, damage output, and hero-specific performance. Playing as a solo player or in a squad won’t affect how your skill level is measured.
There are seven competitive ranks in Overwatch, with each one requiring the following amount of SR points:
- Bronze: Under 1,500 SR
- Silver: 1,500 to 1,999 SR
- Gold: 2,000 to 2,499 SR
- Platinum: 2,500 to 2,999 SR
- Diamond: 3,000 to 3,499 SR
- Master: 3,500 to 3,999 SR
- Grandmaster: 4,000+ SR
- Top 500: The 500 players with the most SR
Less than 1% of the Overwatch playerbase has reached grandmaster. Most players are in silver, gold, or platinum.
Closure
Although the Elo rating system has its roots in chess, many competitive games have understandably adopted it and made it their own. After all, it gives a player insight into their skill level while ensuring fair and competitive matchmaking.
Without the Elo rating system, competitive online games would likely not exist as we know them today. So yeah. Arpad Elo is truly the ultimate MVP.
